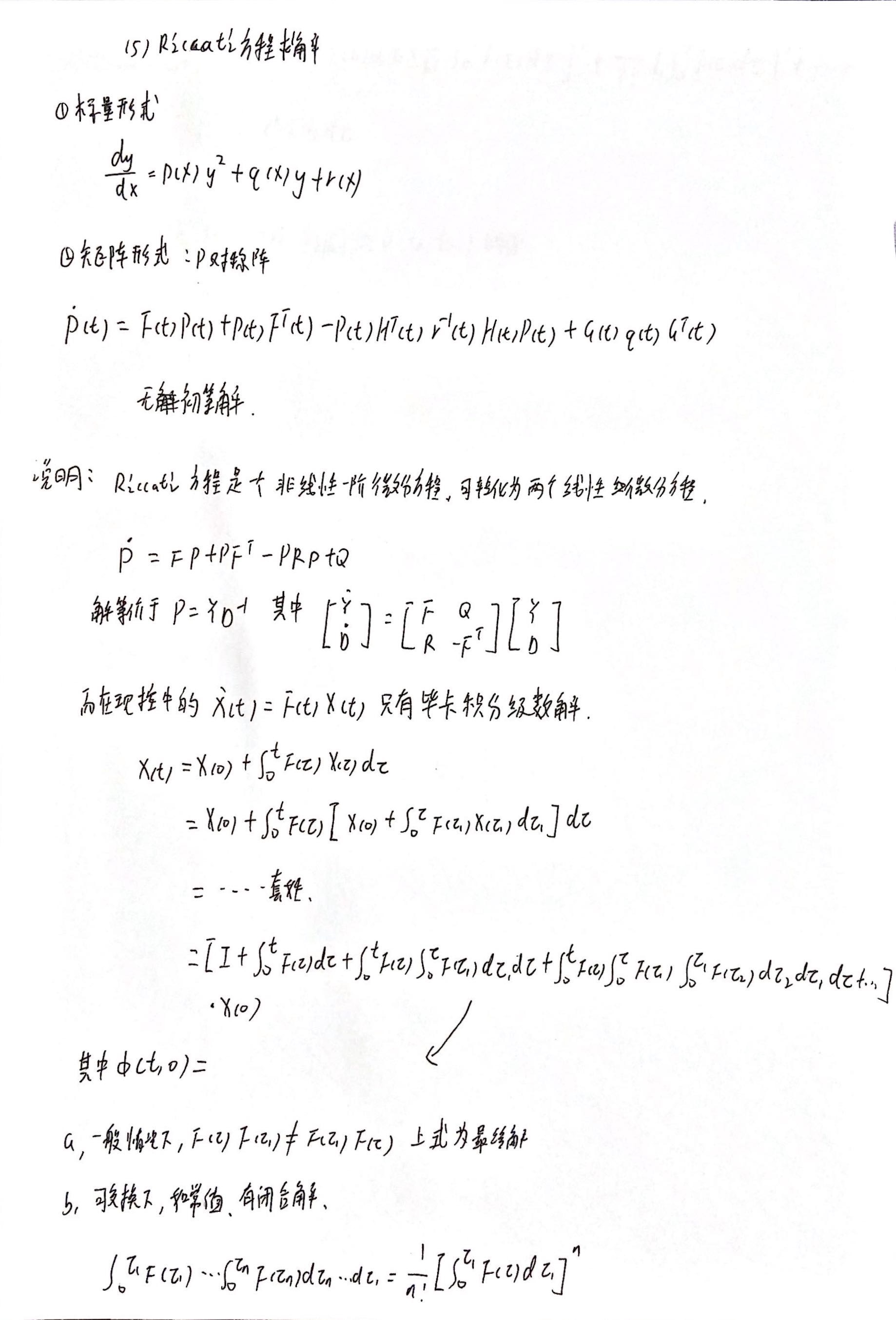
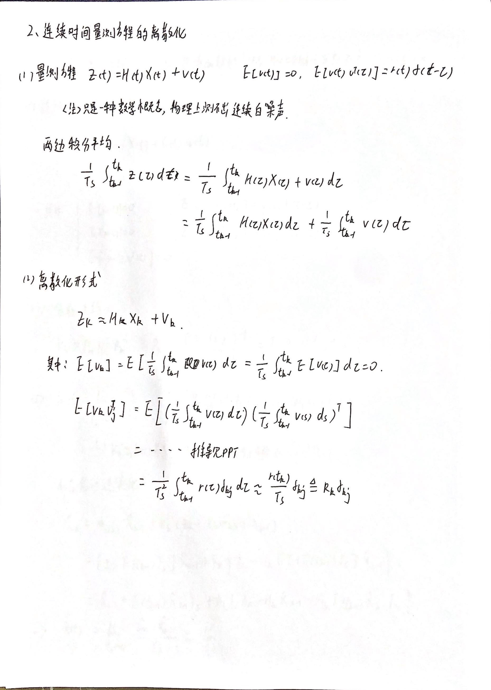
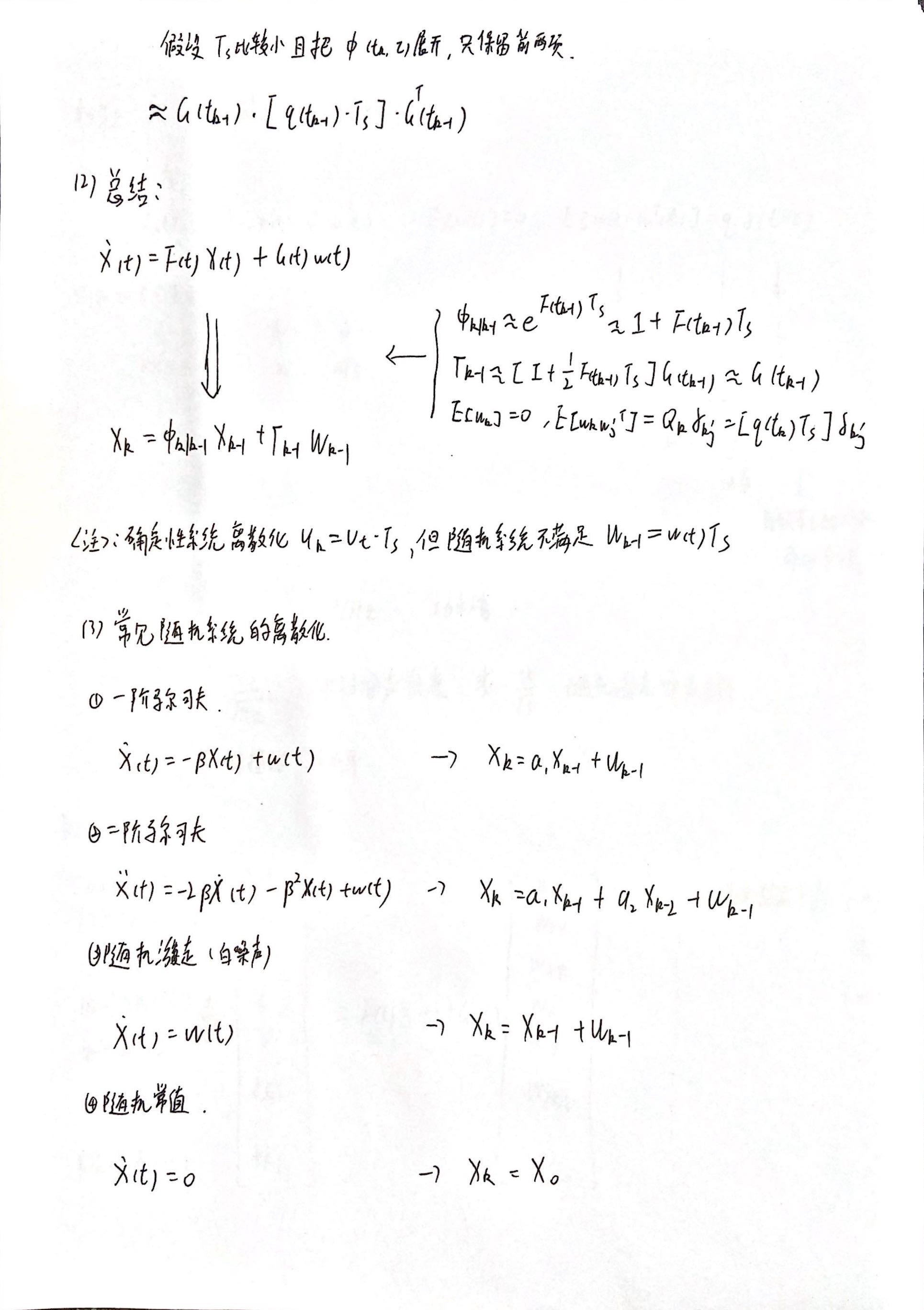
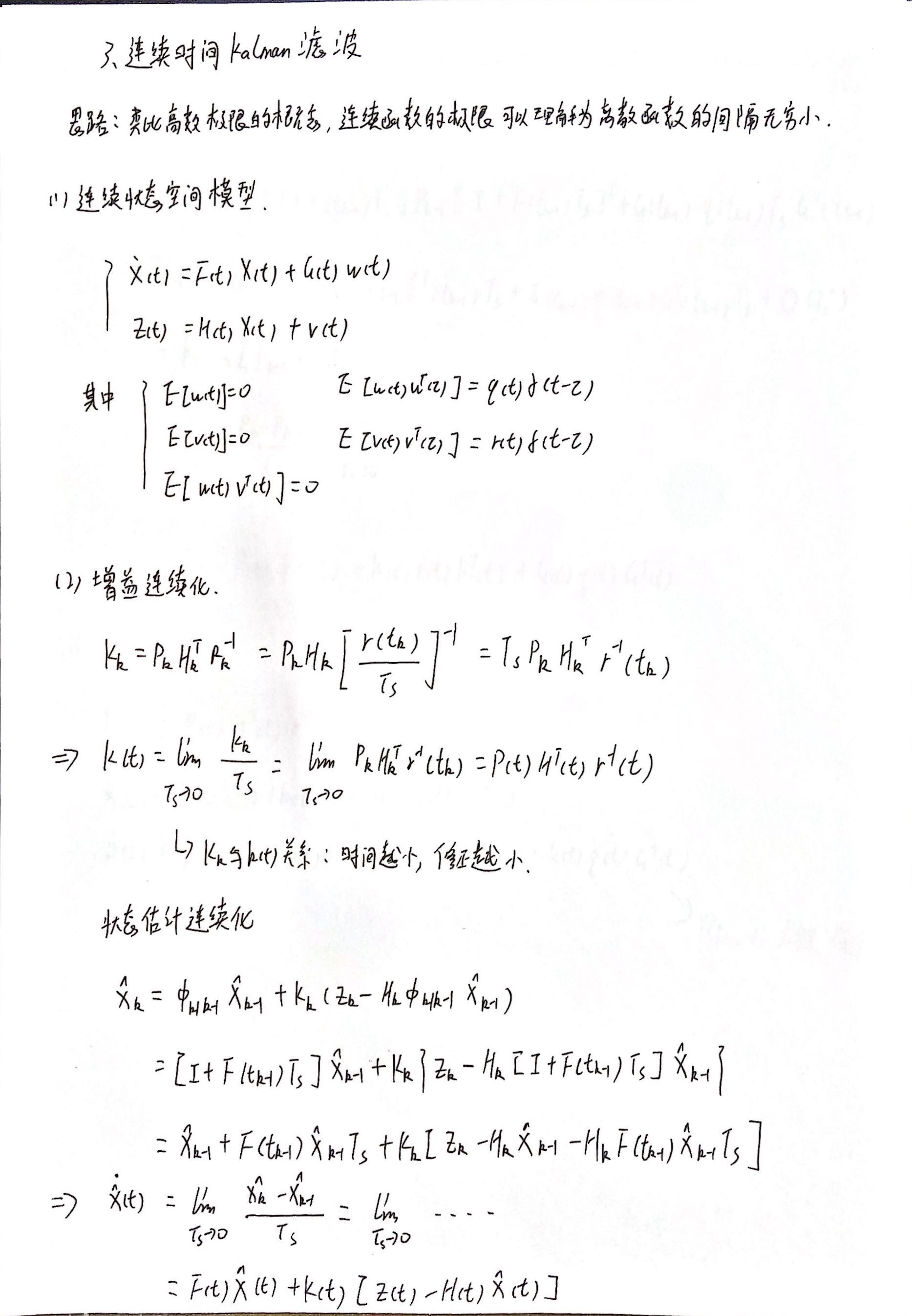
笔记:
IMG_2752(20230107-165014).JPG
IMG_2753(20230107-165014).JPG
IMG_2754(20230107-165014).JPG
IMG_2755(20230107-165014).JPG
IMG_2756(20230107-165014).JPG
IMG_2757(20230107-165014).JPG
IMG_2758(20230107-165014).JPG
IMG_2759(20230107-165014).JPG
愤怒的叉烧肉丶
这个人很懒,什么都没留下
文章评论