学习原因:在家效率实在太低,也不想调程序,就把这门专业课学一学吧虽然不是搞这个的,就当增加自己的专业知识底蕴了
学习目标:学完能够基本了解kalman滤波,知道其原理、作用、实际应用;在日后有用到的时候能够快速反应过来,再回过头来深入理解。
课程地址:https://www.bilibili.com/video/BV11K411J7gp
笔记:
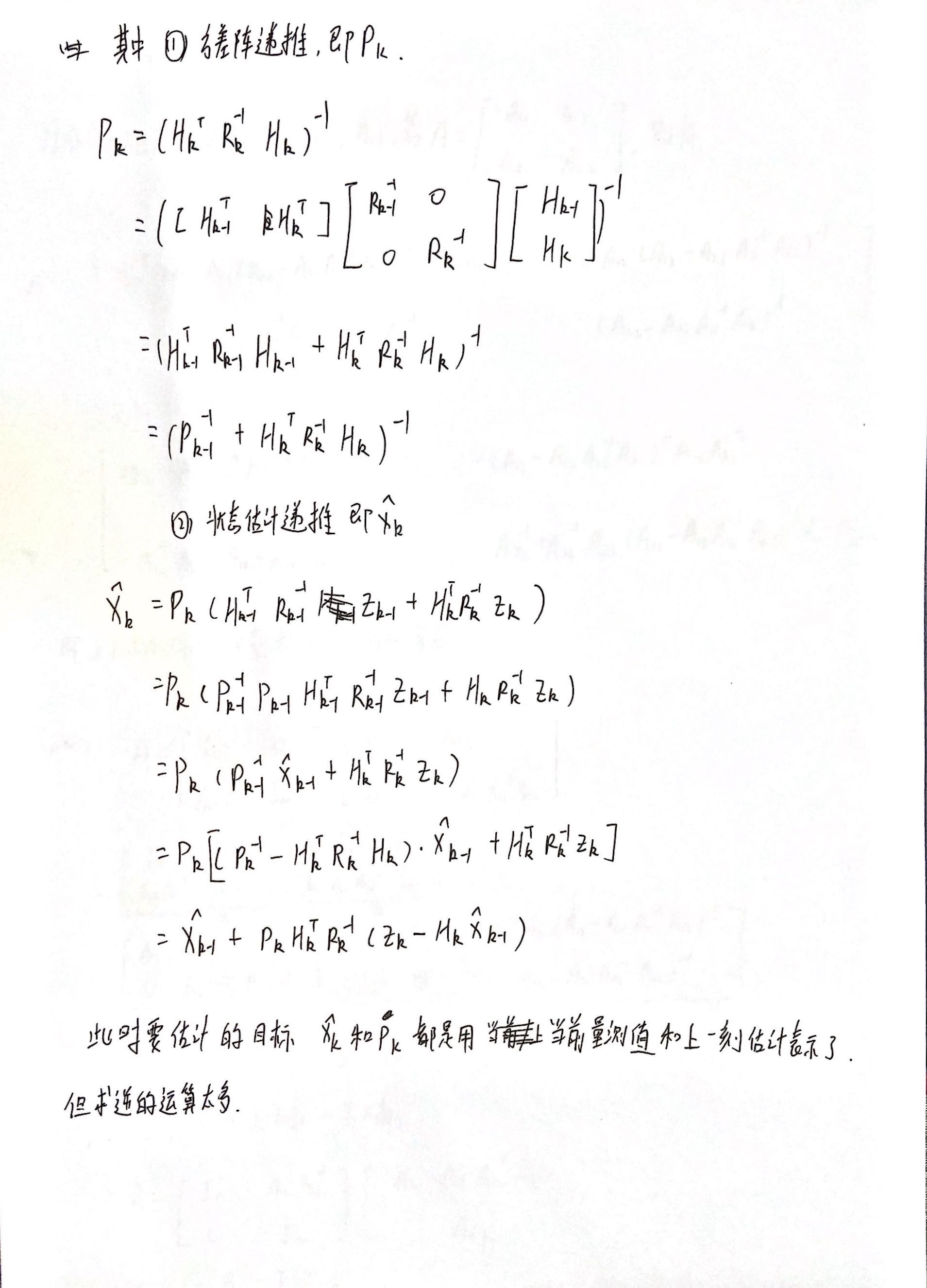
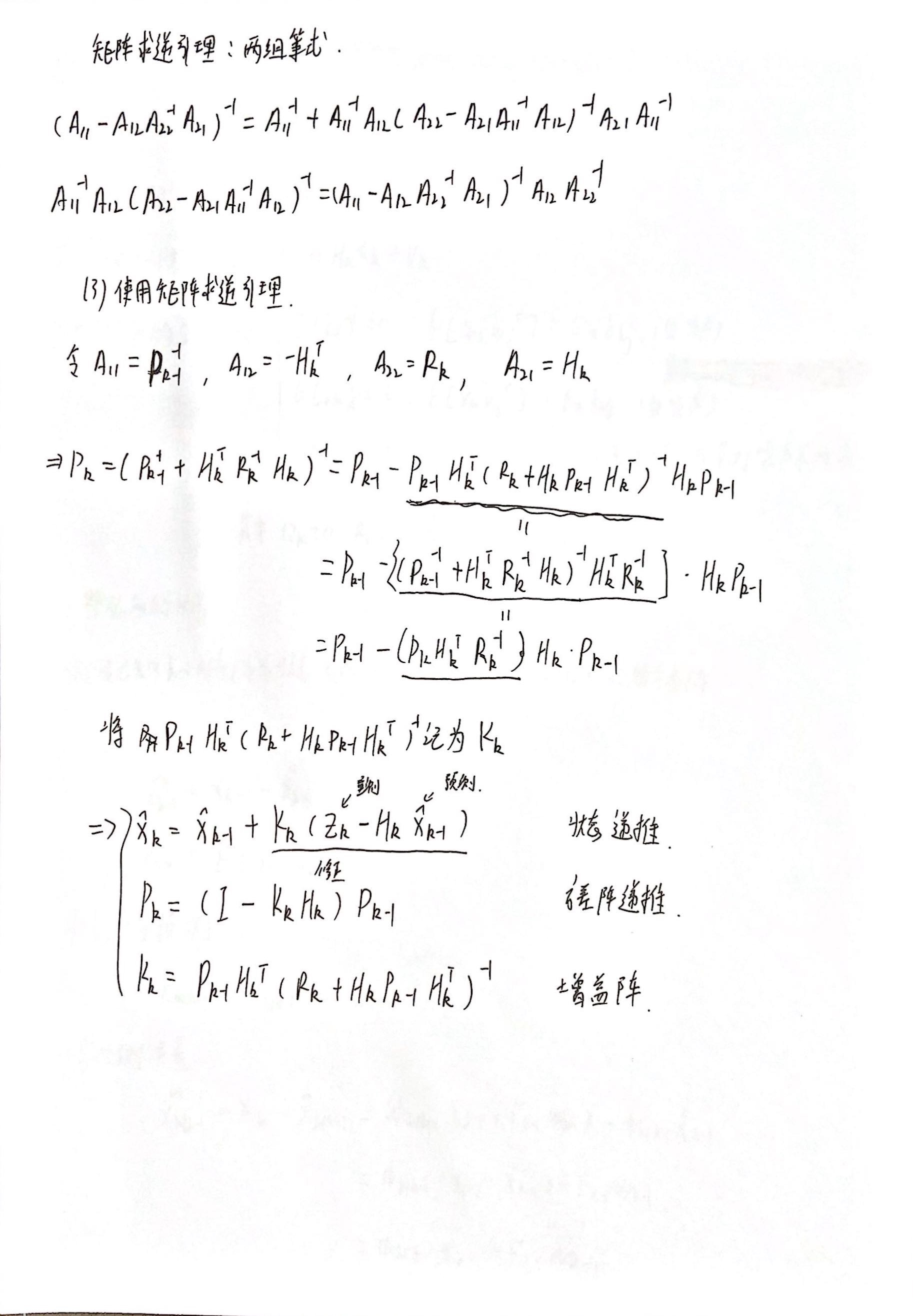
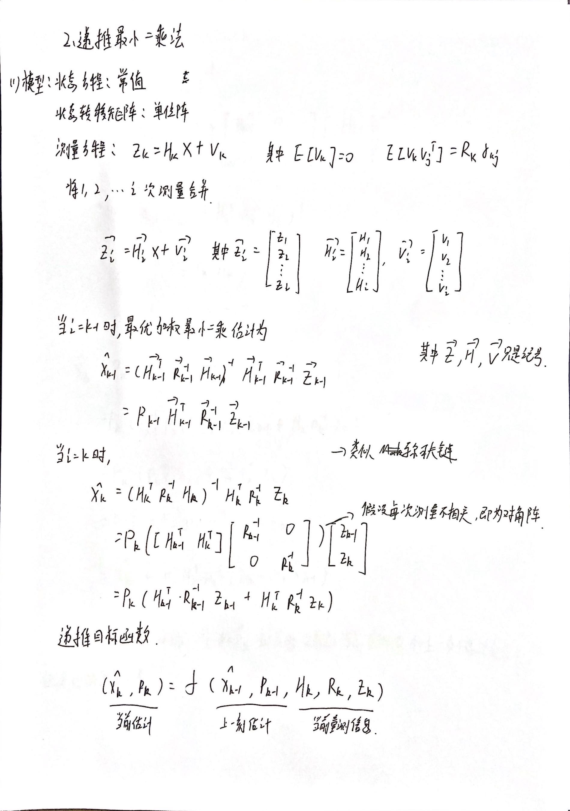
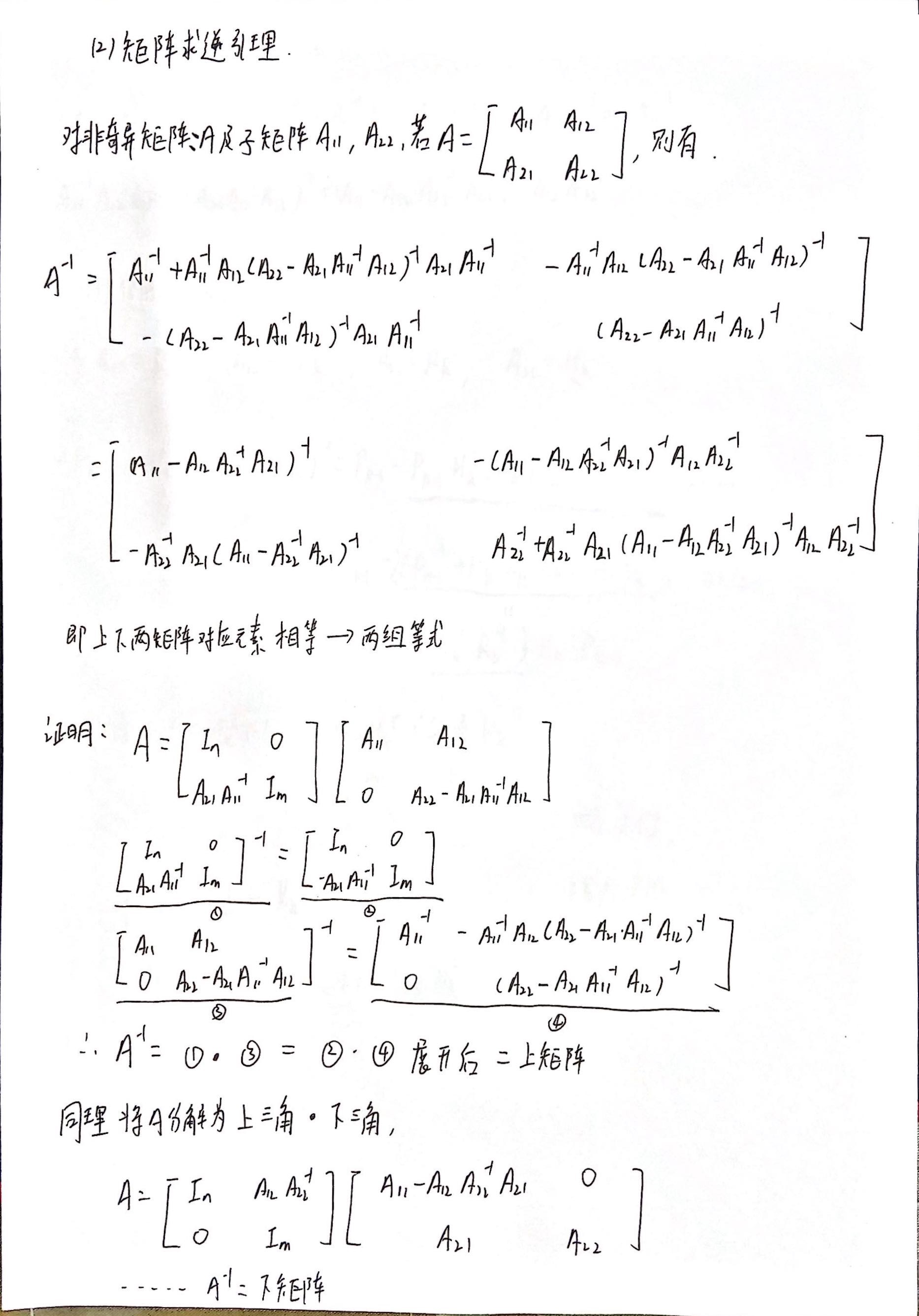
方程推导从最小二乘出发:
学习原因:在家效率实在太低,也不想调程序,就把这门专业课学一学吧虽然不是搞这个的,就当增加自己的专业知识底蕴了
学习目标:学完能够基本了解kalman滤波,知道其原理、作用、实际应用;在日后有用到的时候能够快速反应过来,再回过头来深入理解。
课程地址:https://www.bilibili.com/video/BV11K411J7gp
笔记:
方程推导从最小二乘出发:
愤怒的叉烧肉丶
这个人很懒,什么都没留下
文章评论