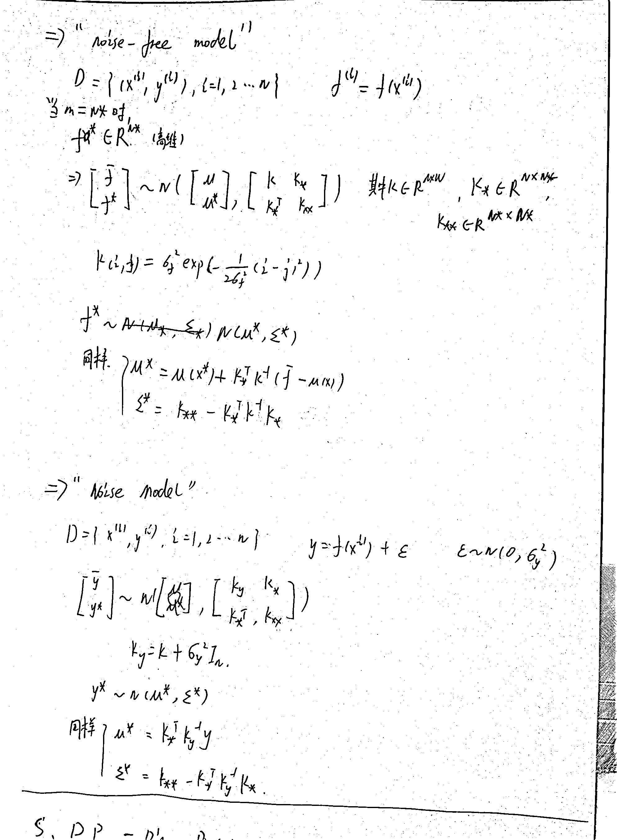
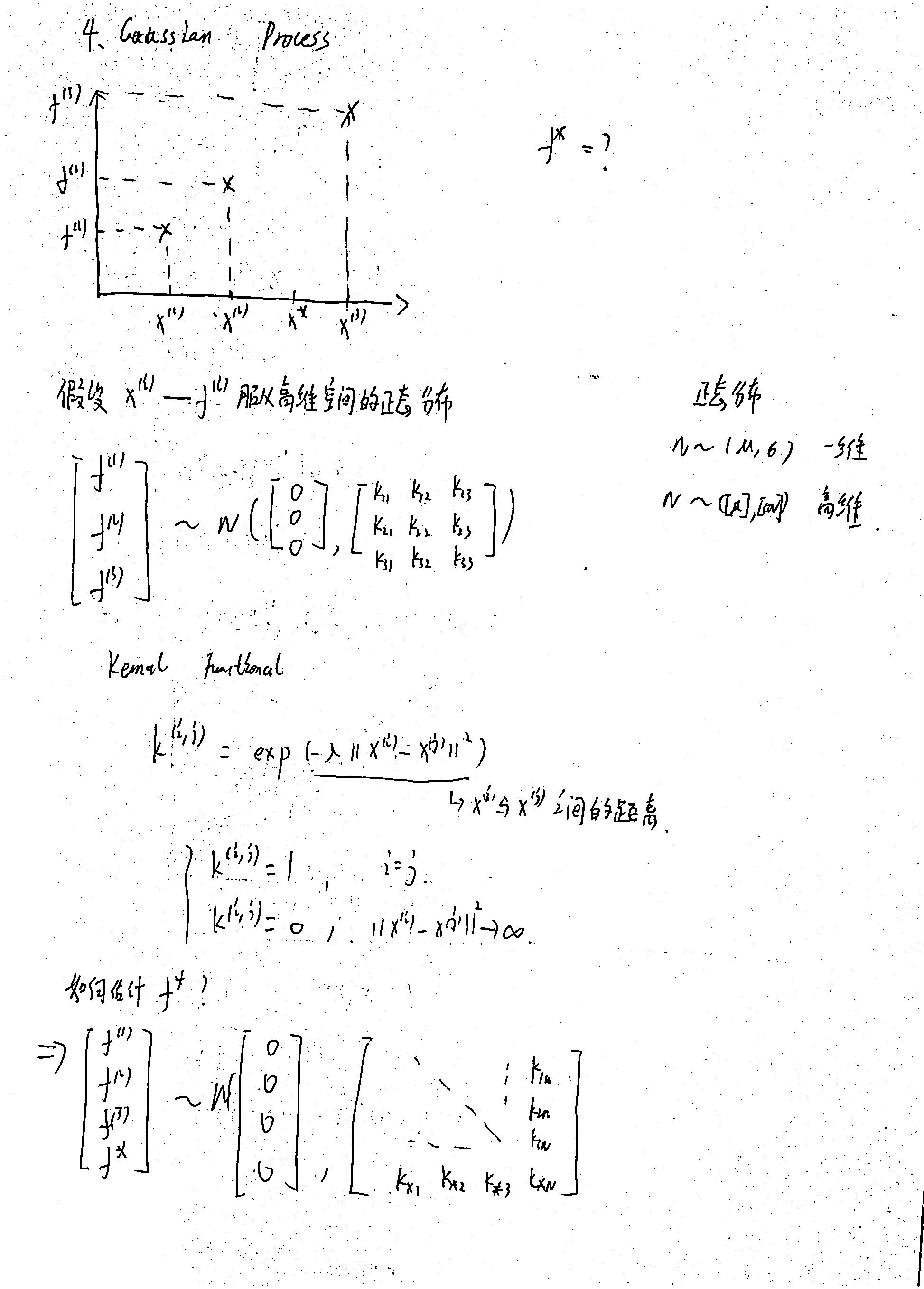
一、手写笔记,关于无模型估计的KDE、GP
二、PDF文件是对于深度学习的神经网络的宏观概述:
三、课程正式完结:自己做了一个宏观上的总结

对应这张图片,能知道每块代表着什么,有个初步的印象说明对机器学习已经有了粗浅的认识;对于每个方块背后具体的内容,具体的数学原理,模型建立、模型求解(算法)、数据训练的流程,自己能够清晰地表述出来说明已经对机器学习已经入门和初步掌握了。听一遍课程只能达到前者所说的效果,最多介于两者之间,后续还需自己复习,体会。
本课程主要侧重于机器学习的底层数学原理,算是初级课程,并未涉及到实战,对于我个人来讲这已经够了。以后有时间可能会折腾一下,搭建机器学习的环境,跑一跑现有的demo等,加深一下认识。
在最后一次课,老师对强化学习的粗略介绍中,就我目前的理解,我才发现强化学习才是和我的课题紧密相关的。回到学习本课程的初衷,我学习机器学习、深度学习、强化学习的目的是把他们当成“工具”,来应用到我的课题中,毕竟现在“万事都可以和AI结合”。对于神经网络和深度学习这一块,我的理解是神经网络从宏观上来讲就是一个分类器或选择器,能够处理更庞大的数据,不是我学习的重点,所以之后会对强化学习部分重点学习。但三者是递进的关系,学完本课程也算是打下了一个小小的基础,入门了AI吧。
最后,这张图画到“数学”的时候直接绷不住了。

本课程来源于B站,秦曾昌老师的机器学习。
文章评论